Java 37

[프로그래머스 level_3] 베스트앨범 for JAVA

https://programmers.co.kr/learn/courses/30/lessons/42579 프로그래머스 코드 중심의 개발자 채용. 스택 기반의 포지션 매칭. 프로그래머스의 개발자 맞춤형 프로필을 등록하고, 나와 기술 궁합이 잘 맞는 기업들을 매칭 받으세요. programmers.co.kr [문제 설명] 스트리밍 사이트에서 장르 별로 가장 많이 재생된 노래를 두 개씩 모아 베스트 앨범을 출시하려 합니다. 노래는 고유 번호로 구분하며, 노래를 수록하는 기준은 다음과 같습니다. 속한 노래가 많이 재생된 장르를 먼저 수록합니다. 장르 내에서 많이 재생된 노래를 먼저 수록합니다. 장르 내에서 재생 횟수가 같은 노래 중에서는 고유 번호가 낮은 노래를 먼저 수록합니다. 노래의 장르를 나타내는 문자열 배열 ..

[프로그래머스 level_3] 저울 for JAVA

https://programmers.co.kr/learn/courses/30/lessons/42886 프로그래머스 코드 중심의 개발자 채용. 스택 기반의 포지션 매칭. 프로그래머스의 개발자 맞춤형 프로필을 등록하고, 나와 기술 궁합이 잘 맞는 기업들을 매칭 받으세요. programmers.co.kr [문제 설명] 하나의 양팔 저울을 이용하여 물건의 무게를 측정하려고 합니다. 이 저울의 양팔의 끝에는 물건이나 추를 올려놓는 접시가 달려 있고, 양팔의 길이는 같습니다. 또한, 저울의 한쪽에는 저울추들만 놓을 수 있고, 다른 쪽에는 무게를 측정하려는 물건만 올려놓을 수 있습니다. 저울추가 담긴 배열 weight가 매개변수로 주어질 때, 이 추들로 측정할 수 없는 양의 정수 무게 중 최솟값을 return 하도록..

[프로그래머스 level_3] 여행경로 for JAVA

https://programmers.co.kr/learn/courses/30/lessons/43164 프로그래머스 코드 중심의 개발자 채용. 스택 기반의 포지션 매칭. 프로그래머스의 개발자 맞춤형 프로필을 등록하고, 나와 기술 궁합이 잘 맞는 기업들을 매칭 받으세요. programmers.co.kr [문제 설명] 주어진 항공권을 모두 이용하여 여행경로를 짜려고 합니다. 항상 ICN 공항에서 출발합니다. 항공권 정보가 담긴 2차원 배열 tickets가 매개변수로 주어질 때, 방문하는 공항 경로를 배열에 담아 return 하도록 solution 함수를 작성해주세요. 제한사항 모든 공항은 알파벳 대문자 3글자로 이루어집니다. 주어진 공항 수는 3개 이상 10,000개 이하입니다. tickets의 각 행 [a,..

[프로그래머스 level_3] 이중우선순위큐 for JAVA

https://programmers.co.kr/learn/courses/30/lessons/42628 프로그래머스 코드 중심의 개발자 채용. 스택 기반의 포지션 매칭. 프로그래머스의 개발자 맞춤형 프로필을 등록하고, 나와 기술 궁합이 잘 맞는 기업들을 매칭 받으세요. programmers.co.kr [문제 설명] 이중 우선순위 큐는 다음 연산을 할 수 있는 자료구조를 말합니다. 명령어수신 탑(높이) 명령어 수신 탑(높이) I 숫자 큐에 주어진 숫자를 삽입합니다. D 1 큐에서 최댓값을 삭제합니다. D -1 큐에서 최솟값을 삭제합니다. 이중 우선순위 큐가 할 연산 operations가 매개변수로 주어질 때, 모든 연산을 처리한 후 큐가 비어있으면 [0,0] 비어있지 않으면 [최댓값, 최솟값]을 return..

[프로그래머스 level_3] 정수 삼각형 for JAVA

https://programmers.co.kr/learn/courses/30/lessons/43105 프로그래머스 코드 중심의 개발자 채용. 스택 기반의 포지션 매칭. 프로그래머스의 개발자 맞춤형 프로필을 등록하고, 나와 기술 궁합이 잘 맞는 기업들을 매칭 받으세요. programmers.co.kr [문제 설명] 위와 같은 삼각형의 꼭대기에서 바닥까지 이어지는 경로 중, 거쳐간 숫자의 합이 가장 큰 경우를 찾아보려고 합니다. 아래 칸으로 이동할 때는 대각선 방향으로 한 칸 오른쪽 또는 왼쪽으로만 이동 가능합니다. 예를 들어 3에서는 그 아래칸의 8 또는 1로만 이동이 가능합니다. 삼각형의 정보가 담긴 배열 triangle이 매개변수로 주어질 때, 거쳐간 숫자의 최댓값을 return 하도록 solution..

[프로그래머스 level_3] 단어 변환 for JAVA

https://programmers.co.kr/learn/courses/30/lessons/43163 프로그래머스 코드 중심의 개발자 채용. 스택 기반의 포지션 매칭. 프로그래머스의 개발자 맞춤형 프로필을 등록하고, 나와 기술 궁합이 잘 맞는 기업들을 매칭 받으세요. programmers.co.kr [문제 설명] 두 개의 단어 begin, target과 단어의 집합 words가 있습니다. 아래와 같은 규칙을 이용하여 begin에서 target으로 변환하는 가장 짧은 변환 과정을 찾으려고 합니다. 1. 한 번에 한 개의 알파벳만 바꿀 수 있습니다. 2. words에 있는 단어로만 변환할 수 있습니다. 예를 들어 begin이 hit, target가 cog, words가 [hot,dot,dog,lot,log,..

[프로그래머스 level_3] 단속카메라 for JAVA

https://programmers.co.kr/learn/courses/30/lessons/42884 프로그래머스 코드 중심의 개발자 채용. 스택 기반의 포지션 매칭. 프로그래머스의 개발자 맞춤형 프로필을 등록하고, 나와 기술 궁합이 잘 맞는 기업들을 매칭 받으세요. programmers.co.kr [문제 설명] 고속도로를 이동하는 모든 차량이 고속도로를 이용하면서 단속용 카메라를 한 번은 만나도록 카메라를 설치하려고 합니다. 고속도로를 이동하는 차량의 경로 routes가 매개변수로 주어질 때, 모든 차량이 한 번은 단속용 카메라를 만나도록 하려면 최소 몇 대의 카메라를 설치해야 하는지를 return 하도록 solution 함수를 완성하세요. 제한사항 차량의 대수는 1대 이상 10,000대 이하입니다. ..

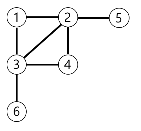
[프로그래머스 level_3] 가장 먼 노드 for JAVA

https://programmers.co.kr/learn/courses/30/lessons/49189 프로그래머스 코드 중심의 개발자 채용. 스택 기반의 포지션 매칭. 프로그래머스의 개발자 맞춤형 프로필을 등록하고, 나와 기술 궁합이 잘 맞는 기업들을 매칭 받으세요. programmers.co.kr [문제 설명] n개의 노드가 있는 그래프가 있습니다. 각 노드는 1부터 n까지 번호가 적혀있습니다. 1번 노드에서 가장 멀리 떨어진 노드의 갯수를 구하려고 합니다. 가장 멀리 떨어진 노드란 최단경로로 이동했을 때 간선의 개수가 가장 많은 노드들을 의미합니다. 노드의 개수 n, 간선에 대한 정보가 담긴 2차원 배열 vertex가 매개변수로 주어질 때, 1번 노드로부터 가장 멀리 떨어진 노드가 몇 개인지를 ret..

[2019 카카오 개발자 겨울 인턴십] 크레인 인형뽑기 for JAVA

https://programmers.co.kr/learn/courses/30/lessons/64061 프로그래머스 코드 중심의 개발자 채용. 스택 기반의 포지션 매칭. 프로그래머스의 개발자 맞춤형 프로필을 등록하고, 나와 기술 궁합이 잘 맞는 기업들을 매칭 받으세요. programmers.co.kr [문제 설명] 게임개발자인 죠르디는 크레인 인형뽑기 기계를 모바일 게임으로 만들려고 합니다. 죠르디는 게임의 재미를 높이기 위해 화면 구성과 규칙을 다음과 같이 게임 로직에 반영하려고 합니다. 게임 화면은 1 x 1 크기의 칸들로 이루어진 N x N 크기의 정사각 격자이며 위쪽에는 크레인이 있고 오른쪽에는 바구니가 있습니다. (위 그림은 5 x 5 크기의 예시입니다). 각 격자 칸에는 다양한 인형이 들어 있으..

[프로그래머스 level_3] 디스크 컨트롤러 for JAVA

https://programmers.co.kr/learn/courses/30/lessons/42627 프로그래머스 코드 중심의 개발자 채용. 스택 기반의 포지션 매칭. 프로그래머스의 개발자 맞춤형 프로필을 등록하고, 나와 기술 궁합이 잘 맞는 기업들을 매칭 받으세요. programmers.co.kr [문제 설명] 하드디스크는 한 번에 하나의 작업만 수행할 수 있습니다. 디스크 컨트롤러를 구현하는 방법은 여러 가지가 있습니다. 가장 일반적인 방법은 요청이 들어온 순서대로 처리하는 것입니다. 예를들어 - 0ms 시점에 3ms가 소요되는 A작업 요청 - 1ms 시점에 9ms가 소요되는 B작업 요청 - 2ms 시점에 6ms가 소요되는 C작업 요청 와 같은 요청이 들어왔습니다. 이를 그림으로 표현하면 아래와 같습..